
Özel ve genel göreliliğin omurgasını oluşturan Lorentz
dönüşümleri Hollandalı fizikçi Hendrik Lorentz tarafından elektromanyetizma
kuralları gereğince daha önceden bulunmuştur. Fakat o dönemlerde birçok
fizikçi gibi Lorentz’in de ışığın yayılması konusundaki çalışmaları Eter
maddesinin varlığı üzerinden şekillenmiştir.
Klasik elektromanyetik teorinin garipliklerinden biri ışık hızının vakumda
sabit olduğunu söylemesidir. Şöyle ki; klasik mekanikte farklı referans
sistemleri için hızlar eklenip çıkarılarak, görelilik yazı dizimizin bir
önceki bölümünde bahsettiğimiz Galileo dönüşümleri kullanılıarak
bulunmaktadır. Yani 80km/s hızla giden trenin içinde ileri doğru 3km/s hızla
yürüyen yolcunun hızı 80+3 = 83km/s olmaktadır. Fakat trenin farlarından çıkan
ışığın hızı = ışık hızı + 80km/s çıkmaktadır ki bu sonuç ışığın hızının sabit
olduğunu söyleyen elektromanyetik teori ile çelişir. Bu problemi gidermek için
fizikçiler Eter adında varsayımsal bir madde ortaya atmışlar ve yıllarca
farklı Eter hipotezleri geliştirerek pratikte kullandıkları bu iki sistemi
birbirleriyle bağdaştırmaya çalışmışlardır.
Eter hipotezlerinin sonuncularından diyebileceğimiz çalışmayı ise bu konuda
inancını yitirmeyen Lorentz yapmıştır. Eteri hareketsiz bir sistem olarak ele
almak ve yorumlamak ister. Elektromanyetizmanın temellerini oluşturan Maxwell
denklemlerinin bazılarının Eter’den hareketli bir referansa geçildiğinde
değişmez olduklarını gösterebileceği bir dönüşüm formulü üzerinde çalışmaya
başlar ve zaman koordinatlarının değiştirilmesi gerektiğini farkeder.
1985 yılında “Yerel Zaman” adını verdiği eklentiyi kullanarak iki sistem arası
dönüşüm için matematiksel bir çıkarım yapar. Buna göre mutlak zamanın geçerli
olduğu Eterin içindeki madde bu mutlak zamana bağlı bir değişken olan yerel
zamanda hareket etmektedir.

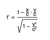
Denklemde;
T’ = yerel zaman,
T = mutlak zaman,
C = ışık hızı
V = cismin hızı
X = mesafe
Kök içindeki ifade ise Lorentz Faktörüdür.
C ışık hızı sabiti 1’dir. Eğer V hızını ışık hızının çok altında değerler
alırsanız, kök içindeki V2/C2 ifadesi küçülmeye başlar. V’yi ufalttıkça pay
azalır ve V2/C2 sıfıra yaklaşmaya başlar. Kök içindeki 1’den sıfıra
yaklaşmakta olan V2/C2 yi çıkardığımızda 1’e oldukça yaklaşmış olan bir sayı
ederiz ve bu sayı kök içinden dışarıya yine 1’e çok yakın olarak çıkar.
Denklemin üst kısmında ise X/C * V/C değerinde V/C’nin payı olan V’yi
azalttıkça kesir sıfıra yaklaşmaya başlar. Bir sayının 0 ile çarpımı 0 olacağı
için X/C * V/C çarpım işlemi de sıfıra yaklaşır ve üst kısımda geriye sadece T
kalır.
Dolayısıyla denklemimiz eğer ışık hızından çok düşük hızlar kullanıyorsak T’ =
T şeklinde sonuçlanacaktır. Bu ifadenin aslında Galileo dönüşümündeki zaman
ifadesi olan T’ = T ile aynı olduğuna dikkat etmek gerekiyor.
Lorentz zaman dönüşümü ışık hızından çok düşük hızlarda Galileo dönüşümü ile
yaklaşık aynı sonucu verir fakat hız ışık hızına yaklaştıkça referans
sistemleri arasında zaman farkı oluşmaya başlar. Denklemde gerçekleşen bu
zaman daralması sayesinde ışık hızı farklı referans sistemlerinde farklı
hızlara çıkmaz, tutarsızlık göstermez.
Bu anlattığımız ifadenin açık anlatımı şudur: Eğer ışık hızından çok düşük
(günlük bildiğimiz araba, uçak vs gibi) hızlarda hareket ediyorsanız; “yerel
zaman” ile dışarıdan sizi izleyen gözlemcinin ölçtüğü “mutlak zaman” arasında
kayda değer bir fark bulunmaz. Ancak, ışık hızına yaklaştıkça yerel zaman
hareket halindeki cisim için belirgin oranda değişmeye başlar, dışardan bakan
hareketsiz gözlemciye oranla yavaşlar.
Dolayısıyla yerel zamanı kendisi için yavaşlamış olan gözlemcimize göre ışık
hızı sabitliğini korur. Yani, gözlemcimiz 0.9c (ışık hızının %90’ı) hızla
hareket ederken, aracının farlarından çıkan ışığın 1.9c hızla hareket ettiğini
değil, yine 1c hızla hareket ettiğini ölçümler. Hız; “birim zaman içinde
alınan yol” olduğuna ve hareket halindeki gözlemcimiz için zaman yavaşladığına
göre, ışığın hızını hep sabit olarak ölçmesi doğaldır.

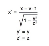
Lorentz yol dönüşümleri de benzer bir şekilde Galileo dönüşümlerine
indirgenebilme özelliğine sahiptir. Denklemin payda kısmında kök içinde
bulunan ifade benzer bir şekilde küçük hızlarda sıfıra yaklaşırken, pay
kısmındaki X – V*T ifadesi de V*T sıfıra yaklaşacağı için geriye X i bırakır.
Sonuç olarak düşük hızlarda X’ = X olur.
Eğer tek boyutlu bir hareket yapılıyorsa, yani tek bir doğrultuda gidiliyorsa,
Y ve Z koordinatları için Y’=Y ve Z’=Z eşitlikleri yazılabilir fakat hareket 3
boyutta da yapılmaktaysa diğer koordinatlarda da X koordinatı için yazdığımız
denkem şeklinde olur.
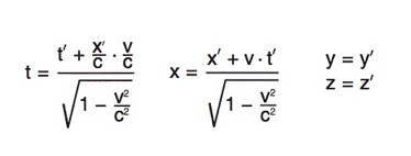
Referans sistemimize tersten, bir gözlemciymiş gibi bakmak istersek; T’
zamanını ve X’, Y’, Z’ boyutlarını denklemde eşitliğin karşı tarafına geçirip
Ters Lorentz Dönüşümlerini uygularız ve denklemlerimiz şu şekilde olur.

Fizik yasalarının dönüşümler sırasında değişmez olduğu konusuna oldukça önem
veren Fransız matematikçi, fizikçi ve bilim felsefecisi olan Henri Poincarê,
Lorentz’in bulduğu dönüşümleri modern formuna sokmuş ve bütün Maxwell
denklemlerinde de dönüşümler sonucu değişmezliğini göstererek özel göreliliğe
doğru giden yolda önemli bir adımı tamamlamıştır.
Poincarê 1898’de yazdığı bir yazıda bu dönüşüm denklemlerinin salt
matematiksel olarak ifade ettiklerinin tek başlarına bir anlamı olmadığını,
esasen fiziksel açıdan daha derin çıkarımlara gebe olduğunu belirtmiştir.
Ayrıca dönüşümlerin öngörüsü olarak diğer bilim isanlarının ve yeni teorilerin
ışık hızı artık sabit almaları gerektiğini söyler.
Lorentz bu dönüşüm denklemlerini mutlak zamanın işlediği referans sistemi olan
Eter hipotezi üzerinden kurmuş ve Michelson-Morley deneyindeki sonucun
denklemlerindeki uzunluk daralması ile örtüştüğünü söylemiştir. Fakat Poincarê
artık mutlak zaman ve uzayın olamayacağını, Eter’in artık metafizik bir anlam
kazandığını, deneysel olarak yanlışlanıp ispatanamayacağını, fizikçilerin Eter
hipotezlerini terketmeleri gerektiğini belirtmiştir.
Taylan Kasar
Yazı dizimizin diğer bölümleri için:
1) Referans Sistemleri
2) Lorentz Dönüşümleri
3) Michelson – Morley Deneyi
4) Zaman Genişlemesi ve İkizler Paradoksu
5) Boy Kısalması
6) Kütlenin ve Momentumun Göreliliği